微通道反應器在臭氧化反應中的應用
背景介紹
臭氧是一種非常綠色而且原子效率高的試劑,但是由于它是氣體,存在傳質和安全問題。另外,由于其氧化活性很高,容易產生過氧化物,或者直接與溶劑發生強烈氧化而爆炸,有很大的安全風險,所以限制了其在工業化中的應用。微通道技術的發展,很好地解決了這個難題,由于其持液量低,傳質好,本質上解決了安全問題,從而使用臭氧在工業化上的應用變得可能。
合成詳情
Klavs F. Jensen博士 是美國麻省理工學院化工系教授和材料科學與工程系教授,美國科學院和工程院兩院院士,微反應器技術領域學術帶頭人。Jensen教授團隊的文獻(DOI: 10.1039 / C7RE 00084G )就報道了使用康寧微通道反應器用臭氧做氧化劑制備2,3-二甲酸吡啶。制備2,3-二甲酸吡啶的常規方法有:1)使用濃硫酸和PbO2氧化,缺點是收率低,環境污染大;2)高溫高壓下使用氧化氧化,缺點是設備要求極高,同樣安全性較低。
Jensen教授在該文章中現場制備臭氧,現場消耗,取得了滿意的效果。
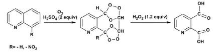
反應方程式如下所示:

反應器示意圖如下圖所示:

反應分成兩部分,通過鋼瓶輸送氧氣和氮氣到臭氧發生器,產生的臭氧直接通入康寧反應器,與喹啉反應,之后反應混合物在氣液分離器中分離,得到產品;
反應結果如表一所示:

表一:溫度和后處理會反應收率的影響
首先對溫度進行了篩選,發現20°?之后對轉化率的影響比較小。然而后處理的時間有關系,當反應溫度是10°?的時候,沒有進行后處理的話,收率只有68%。而溫度是40°?的情況下,不進行后處理收率也能達到74%。如果反應溫度是20°?的話,只有當后處理的時間延長至10min,收率才能達到72%左右。
為了提升轉化率,作者設計了一套循環體系,具體結果如表二所示:

表二:循環對反應收率的影響
作者發現方循環比例是4的時候,反應的轉化率達到95%。